EXCELによる数量化2類例題
判別分析の例題は、説明変量が量的データであり、目的変量が質的データであった。この表を元にして、説明変量において、6点以上を該当あり、5点以下を該当無しとして新しい表を作成する。この新しく作成された表はすべて質的データであるから、数量化2類の分析を実施する。
判別分析で使用した表
|
NO |
X1 礼儀 |
X2 積極性 |
X3 強調性 |
X4 業界区分 |
|
1 2 3 4 5 6 7 8 |
3 8 6 8 7 4 6 7 |
8 2 7 6 3 7 3 5 |
4 6 6 4 5 3 6 8 |
A B A A B A B B |
1. 数量化2類分析用に質的データの表にする。
6点以上を該当有り:「1」 5点以下を該当無し:「0」 A業界:「1」 B業界:「2」とする。
|
NO |
X1 礼儀 |
X2 積極性 |
X3 強調性 |
Y 業界区分 |
|||
|
|
有り |
無し |
有り |
無し |
有り |
無し |
|
|
1 2 3 4 5 6 7 8 |
0 1 1 1 1 0 1 1 |
1 0 0 0 0 1 0 0 |
1 0 1 1 0 1 0 0 |
0 1 0 0 1 0 1 1 |
0 1 1 0 0 0 1 1 |
1 0 0 1 1 1 0 0 |
1 2 1 1 2 1 2 2 |
新しく作成した表を見ると、説明変量X2と目的変量Yが1対1で対応状態となっている。このままでは変量X2さえあれば、他の変量はいらないということになるので、X2の変量を削除する。説明変量X1・X3と目的変量Yの表
|
|
礼儀: |
X1 |
協調性: |
X3 |
業界区分 |
|
|
有り |
無し |
有り |
無し |
|
|
標本 |
X11 |
X12 |
X31 |
X32 |
Y |
|
1 |
0 |
1 |
0 |
1 |
1 |
|
2 |
1 |
0 |
1 |
0 |
2 |
|
3 |
1 |
0 |
1 |
0 |
1 |
|
4 |
1 |
0 |
0 |
1 |
1 |
|
5 |
1 |
0 |
0 |
1 |
2 |
|
6 |
0 |
1 |
0 |
1 |
1 |
|
7 |
1 |
0 |
1 |
0 |
2 |
|
8 |
1 |
0 |
1 |
0 |
2 |
上の表のデータを元にして数量化2類の分析を実施する。
X11・X31の成分を取り除き、業界区分をキーとして昇順にソートし、2群に分ける。
さらに各群の小計と2群の合計を求めると以下の様な表になる。

2. 上の表を元に線形判別式を求める。
とすると

(0.25−η2 )・(0.125−η2)−0.25×0.125=0
η2= 0,0.375
分散比(η2)は0で最小となり、0.375で最大となる。

以上から a12 = 0.894 a32 = 0.447
線形判別式は、Y= 0.894X12 + 0.447X32
この式を基準化すると、Y= −0.2235X11+0.6705X12−0.2235X31+0.2235X32
この判別式を使用して予測値(Y')を求める。さらに求めた予測値の標準偏差を求め、各予測値を割って標準化(平均:0 標準偏差:1)する。さらに標準化された予測値の各群の平均値を求める。
|
|
礼儀 |
|
協調性 |
|
業界区分 |
|
|
|
|
|
有り |
無し |
有り |
無し |
|
予測値 |
標準化 |
|
|
標本 |
X11 |
X12 |
X31 |
X32 |
Y |
Y' |
Y' |
各群平均 |
|
1 |
0 |
1 |
0 |
1 |
1 |
0.894 |
1.52753 |
|
|
3 |
1 |
0 |
1 |
0 |
1 |
-0.447 |
-0.7638 |
|
|
4 |
1 |
0 |
0 |
1 |
1 |
0 |
0 |
|
|
6 |
0 |
1 |
0 |
1 |
1 |
0.894 |
1.52753 |
0.5728 |
|
2 |
1 |
0 |
1 |
0 |
2 |
-0.447 |
-0.7638 |
|
|
5 |
1 |
0 |
0 |
1 |
2 |
0 |
0 |
|
|
7 |
1 |
0 |
1 |
0 |
2 |
-0.447 |
-0.7638 |
|
|
8 |
1 |
0 |
1 |
0 |
2 |
-0.447 |
-0.7638 |
-0.573 |
|
|
|
|
|
|
平均 |
0 |
0 |
|
|
|
|
|
|
|
標準偏差 |
0.58526 |
1 |
|
以上から1群(A社)の重心:0.573 2群(B社)の重心:−0.573 である。
3.レンジ(範囲)を調べる。
各アイテムの各カテゴリを基準化して、最大値−最小値からレンジを求める。
|
|
礼儀 |
|
協調性 |
|
業界区分 |
|
|
有り |
無し |
有り |
無し |
|
|
標本 |
X11 |
X12 |
X31 |
X32 |
Y |
|
1 |
0 |
0.6705 |
0 |
0.2235 |
1 |
|
3 |
-0.2235 |
0 |
-0.2235 |
0 |
1 |
|
4 |
-0.2235 |
0 |
0 |
0.2235 |
1 |
|
6 |
0 |
0.6705 |
0 |
0.2235 |
1 |
|
2 |
-0.2235 |
0 |
-0.2235 |
0 |
2 |
|
5 |
-0.2235 |
0 |
0 |
0.2235 |
2 |
|
7 |
-0.2235 |
0 |
-0.2235 |
0 |
2 |
|
8 |
-0.2235 |
0 |
-0.2235 |
0 |
2 |
|
合計 |
-1.341 |
1.341 |
-0.894 |
0.894 |
|
アイテム1:0.6705−(−0.2235)=0.894
アイテム2:0.2235−(−0.2235)=0.447
アイテム1(礼儀)の方がレンジが大きい。よってアイテム1の方が外的基準に与える影響は大きい。
4.各アイテムと外的基準間の単相関係数を調べる。
B業界区分に数量−1を与える。
X1(礼儀)とYの単相関係数:0.57735 X2とYの単相関係数:0.5
X1の単相関係数が大きい。X1(礼儀)の方が外的基準に与える影響は大きい。
またX1-X3の単相関係数:0.57735であり、X1-X3間の多重共線性はないと考えられる。
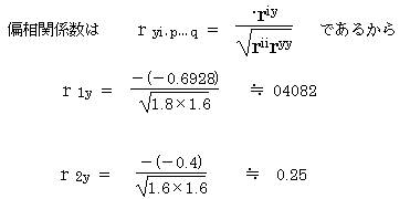
5.偏相関係数を調べる。
相関係数行列を作成し、その逆行列を求める。


各アイテムと外的基準との偏相関係数も、X1−Yの方が大きい。X1(礼儀)の外的基準に与える影響の方が大きい。